CLEAR( Comprehensive Learning Enabled Adversarial Reconstruction) : 저선량 CT 이미징에서 고품질 이미지를 재구성하기 위한 심층 학습 기반의 방법
- 포괄적 도메인(프로젝션, 이미지) 에서 구축된 생성자
- 다중 수준의 손실
- WGAN-GP 기반 모달리티( Wasserstein 거리 기반의 적대적 최적화 )
Method
- 노이즈 모델
![]() |
|
| 포아송 노이즈 모델 Z_i:광자의 수 Z_0i: 입사한 X-선 광자 강도 P_i: 감쇠 계수의 선적분 E_i: 배경 전자 노이즈 |
I_RD: 일상선량 이미지 I_LD: 재구성된 저선량 이미지 I_N: 노이즈 이미지, R: 재구성 연산 P_LD: 저선량 프로젝션 P_N: 프로젝션의 노이즈, P_RD:일상선량 프로젝션 |
- CLEAR: 일괄 재구성 방법
최적의 생성기 g* 훈련

포괄적 도메인 네트워크 ϕ_CD : 프로젝션 전처리, 미분 가능한 해석적 재구성 및 이미지 후처리를 통합

다중 수준 일관성(MLC) 손실 도입

다중 수준 정규화 항
WGAN-GP 모달리티-> 흐림효과 해결

- Wasserstein 거리 (확률 분포 간의 차이를 측정)
- 네트워크 정규화를 위한 기울기 패널티
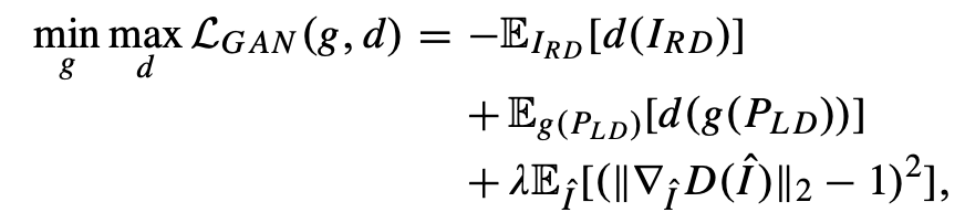
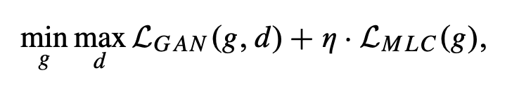
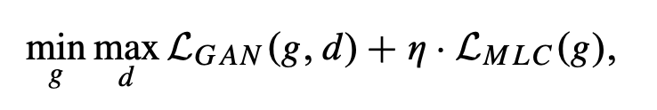
최종 복합 목적 함수


- Comprehensive Domain Generator
- 프로젝션 도메인 네트워크(PD-Net): 프로젝션 도메인에서 노이즈를 억제
- 미분 가능한 FBP 연산자: 도메인 변환
- 이미지 도메인 네트워크(ID-Net) : 이미지 도메인에서 잔여 노이즈-artifact 특징을 제거
- 재구성 정확도를 유지
- 네 가지 손실 항목: 포괄적 도메인 생성기의 서로 다른 깊이에 할당
- PL,PCL: L1 정규화/ CL,ICL: L2정규화
- 3D ResUNet :
- 잔여 경로- 기울기 소실을 방지, 깊은 네트워크에 대한 안정적인 훈련
- 스킵 연결- 로컬과 글로벌 특징을 동시에 매핑하여 더 많은 정보를 추출하는 데 기여
- 3D 모델 - 슬라이스 간의 중복 정보를 활용
- 판별기
- 8개의 레이어로 구성된 단순한 네트워크 ( 합성곱 레이어(6), 글로벌 평균 풀링 레이어, 완전 연결된 레이어)
Experiment
- AAPM 챌린지 데이터 (시뮬레이션 데이터)
- 실제 데이터
- 객관적 metric : MAE(평균 절대 오차), SSIM(구조적 유사도 지수), PSNR(피크 신호 대 잡음 비율)
- 비교 모델: FBP, TV(반복 재구성 방법), KSVD(딕셔너리 학습 알고리즘), WGAN-GP(생성 모델을 기반으로 한 후처리 기법), DD-UNet(연속된 네트워크 처리 알고리즘)
- AAPM 결과


- FBP: 노이즈에 의해 심각히 저하
- KSVD:미세한 특징을 거의 복원X(a4)
- TV: 노이즈 억제 잘 하지만, artifact가 미세구조를 손상( c4)
- DD-UNet: 유클리드 거리 최소화로 인해 흐림 효과가 발생
정량적 분석

CLEAR: 가장 낮은 MAE, 높은 SSIM,PSNR
- 실제 데이터

- FBP: 노이즈는 이미지의 미세한 특징을 심각하게 손상
- TV: 블록 artifact 발생( c3)
- KSVD: 흐림효과, 미세한 구조 손실(d4)
- DD-UNet:노이즈 억제 x, 세부사항 보존 x
- WGAN-GP , CLEAR: 좋은 시각적 인식(CLEAR가 구조적 충실도에서 더 유망한 성능)
정량적 평가
- CLEAR: 가장 높은 SSIM과 PSNR,가장 낮은 MAE
- TV>WGAN-GP, DD-UNet: 데이터 기반 방법-> 실제 프로젝션과 시뮬레이션된 프로젝션 간의 불일치
ablation study

- baseline : artifact (d2)
- CL 도입: artifact 억제, 과도한 부드러움 존재
- CLEAR:미세한 텍스처 보존, 시각적 인식 향상
정량적 평가
- 더 낮은 MAE와 PSNR
- 픽셀 단위의 손실을 최소화하도록 훈련-> MAE와 PSNR은 픽셀 단위 손실과 동일
계산 비용

결론
- (MSE 손실 최소화를 기반) 대부분의 심층 학습 방법 : 흐림 효과와 미세한 구조의 변형
- CLEAR가 노이즈 억제, 미세한 구조 보존, 시각적 인식 향상 측면에서 유망한 성능을 보여줌

