밑바닥부터 시작하는 딥러닝
딥러닝 분야 부동의 베스트셀러!머리로 이해하고 손으로 익히는 가장 쉬운 딥러닝 입문서 이 책은 딥러닝의 핵심 개념을 ‘밑바닥부터’ 구현해보며 기초를 한 걸음씩 탄탄하게 다질 수 있도
www.google.com
1. 퍼셉트론이란?
1957년 프랑크 로젠블라트가 고안한 알고리즘으로, 아주 오래 됐지만 딥러닝과 신경망의 기원이 됐다. 다수의 신호를 입력값으로 가지며, 이를 통해 하나의 신호를 출력한다. 이때의 신호는 정보의 “흐름”이며, 출력값은 둘 중 하나이다: 신호가 흐른다(=1), 신호가 흐르지 않는다 (=0)

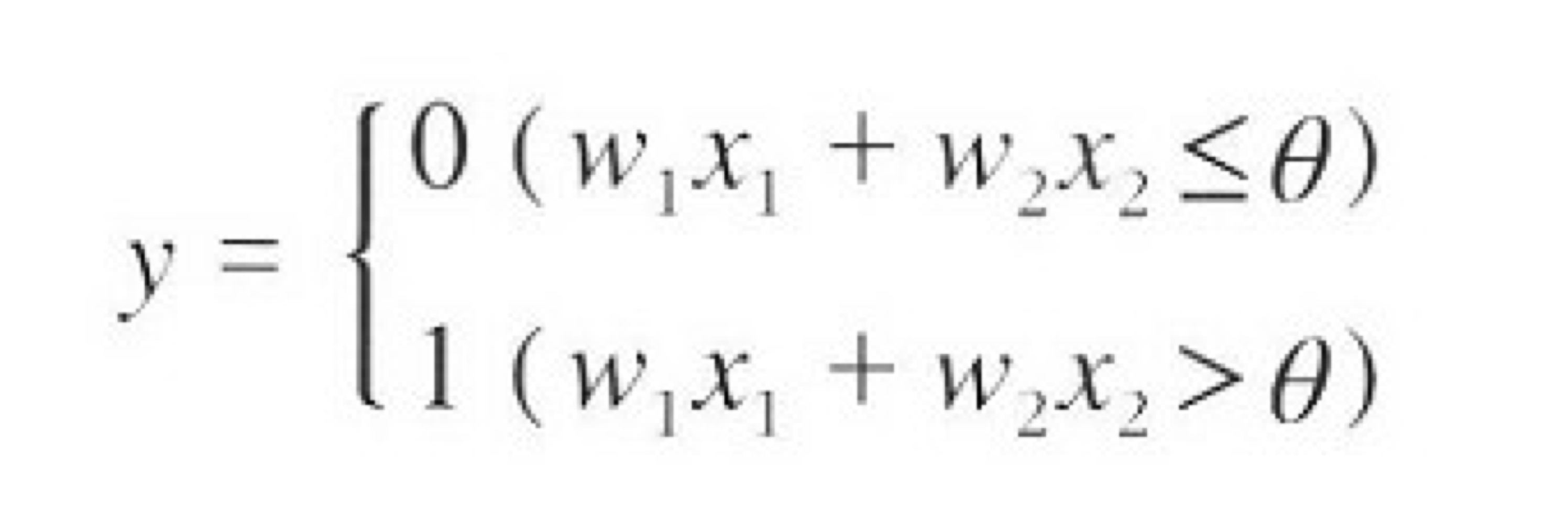
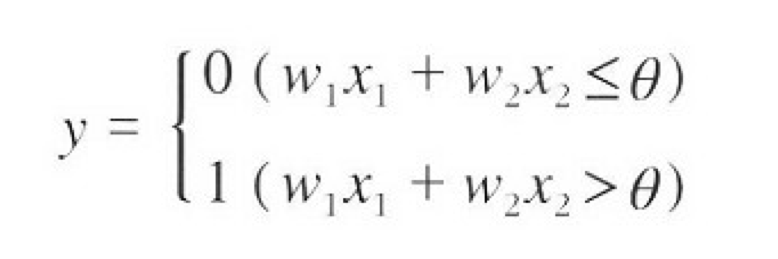
입력값에 가중치를 곱한 후 더한 값이 한계(=임계값, θ)를 넘어서면 1, 넘어서지 못하면 0을 출력한다. 이를 식으로 나타내면 다음과 같다. 이때 가중치는 클수록 그 값이 중요하다는 신호를 보낸다.

2. 단순한 논리 회로
세 개 논리회로들을 통해 퍼셉트론의 (w1, w2, θ)을 구해보자.
(1) AND 게이트
두 입력 신호 모두 1일 때만 1을 출력하며, (x1, x2)에 대한 출력값은 다음의 진리표로 나타낼 수 있다.
| (0, 0) | 0 |
| (1, 0) | 0 |
| (0, 1) | 0 |
| (1, 1) | 1 |
⇒ (w1, w2, θ) = (0.5, 0.5, 0.7) (1, 1, 1) 등
(2) NAND 게이트 (Not AND)
입력 신호가 둘다 1일 때만 0을 출력하고, 그 외에는 1을 출력한다. 진리표는 다음과 같다.
| (0, 0) | 1 |
| (1, 0) | 1 |
| (0, 1) | 1 |
| (1, 1) | 0 |
⇒ (-0.5, -0.5, -0.7), (-1, -1, -1.5)
(3) OR 게이트
두 입력 신호 중 하나 이상이 1이면 1을 출력하며, 진리표는 다음과 같다.
| (0, 0) | 0 |
| (1, 0) | 1 |
| (0, 1) | 1 |
| (1, 1) | 1 |
(교재에서 제공된 매개변수 정답은 없고 독자들한테 스스로 구해보라고 해서 아래 퀴즈문제로 만들어봤다.)
3. 결론
딥러닝에서의 “학습”이란 퍼셉트론이라는 구조 자체에 대한 변함 없이 적절한 매개변수(w, θ)를 구하고 정하는 과정이다.
4. 퀴즈
다음중 OR게이트의 (w1, w2, θ) 매개변수로 불가능한 것은? (위에 제공된 식을 그대로 적용하여 풀기)
- (1, 1, 0)
- (0.5, 0.5, 0.3)
- (1, 1, 1)
- (0.3, 0.3, 0)
'Miscellaneous' 카테고리의 다른 글
| [2025-1] 박경태 - 밑바닥부터 시작하는 딥러닝 리뷰, (CH 3.3) 다차원 배열의 계산 (0) | 2025.03.05 |
|---|---|
| [2025-1] 윤선우 - 밑바닥부터 시작하는 딥러닝 리뷰, (CH 3.5) 출력층 설계하기 (0) | 2025.03.05 |
| [2025-1] 임재열 - Playing Atari with Deep Reinforcement Learning (0) | 2025.03.01 |
| [2025-1] 이재호 - Deep Reinforcement Learning with Double Q-learning (0) | 2025.02.28 |
| [2025-1] 장인영 - 밑바닥부터 시작하는 딥러닝 리뷰, (CH 2.4) 퍼셉트론의 한계 (1) | 2025.02.26 |