https://arxiv.org/abs/2012.09164
Point Transformer
Self-attention networks have revolutionized natural language processing and are making impressive strides in image analysis tasks such as image classification and object detection. Inspired by this success, we investigate the application of self-attention
arxiv.org
1. Introduction
기존의 3D point cloud에 대한 접근 방식은 일반적으로 다음과 같습니다:
Voxelize 3D space
Sparse convolution networks
Directly on points
Transformer은 NLP분야와 image analysis 분야에서 유용하게 사용되고 있는데, Self-attention operator은 input에 대해 permutation-invariant하기 때문에, point cloud에서 사용하기 적합하다는 특징을 가지고 있다.
이번 논문에서는 transformer을 3D point의 상황에 맞게 고려하여 적용한다:
Self-attention operator
각각의 점들의 local neighborhood에 대해 self-attention 적용
Positional information encoding
2. Related Work
Projection-based networks
Multi-view projection을 통해 다양한 image plane을 사용
Geometric information이 projection과정에서 많이 손실된다.
TangentConv: tangent image를 2D convolution에 사용.
Voxel-based networks
Voxelization과정을 거쳐 3D convolution을 이용해 feature map을 얻는다.
Quantization 과정에서 geometric detail 손실이 발생하고, computation / memory cost가 높다.
OctNet: octree를 이용해 sparse convolution효과를 얻는다.
Point-based networks
Point cloud 데이터 자체를 input으로 사용한다.
PointNet / PointNet++
Point set을 graph으로 연결하여 사용: DGCNN / ECC / SPG / KCNet / GACNet / HPEIN / DeepGCNs
continuous convolution을 point set에 바로 적용 : PCCN / SpiderCNN / Spherical CNN / PointConv / KPConv / InterpCNN / PointCNN
Transformer and self-attention
Translation / NLP 분야에서 시작하여 2D image recognition분야에서도 사용되었다.
self-attention은 set operator이기 때문에, input의 순서에 상관없이 사용할 수 있어 3D point cloud에 적합하다.
이번 연구 이전에도 transformer을 이용한 연구가 있었지만, 전체 point cloud에 대해 사용하면 연산량이 너무 많게 되어 large-scale 3D point cloud에서 사용이 어렵고, Scalar dot-product attention을 사용해서 서로 다른 channel이 같은 weight을 공유하게 된다는 단점을 보여주었다.
이번 연구에서는 self-attention을 local끼리만 적용했고, vector attention을 적용하여 더 높은 정확도를 얻을 수 있었다. 또한, 적절한 position encoding을 적용하여 좋은 결과를 얻었다.
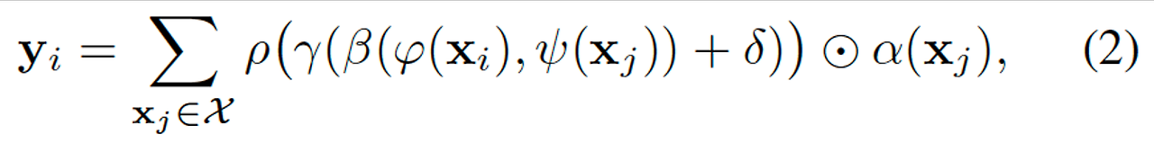
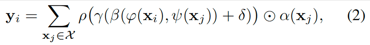
3. Point Transformer
3.1. Backgrounds
scalar dot product attention

ψ,ϕ,α: pointwise feature transformations
δ: position encoding function
ρ: normalization function (ex – Softmax)
vector attention

β: relation function (ex – subtraction)
γ: mapping function (ex – MLP)
3.2. point transformer layer
vector self-attention을 이용하여 다음과 같이 transformer layer을 구성한다:


3.3. Position Encoding

: point i, j의 3D coordinate
𝜃: 2 linear layer + ReLU로 구성된 MLP
3.4. Point Transformer Block

3.5. Network Architecture
Convolution을 사용하지 않고 point transformer layer, pointwise transformation, pooling 으로 구성되어 있다.
Backbone structure
Transition down – feature encoding
Transition up – feature decoding
Transition down

Point set의 cardinality를 farthest point sampling (FPS)을 이용해 줄여준다.
그 후, kNN을 이용해 feature vector을 pooling한다.
Transition up

Transition down에서 줄어든 point set의 크기를 이전의 크기로 키워준다.
Trilinear interpolation을 통해 고해상도 point set을 얻는다.
Interpolation block과 skip-connection으로 구성되어 있다.
Output head
마지막 decoder layer의 output으로 각각의 점들에 대한 feature vector을 얻는다.
MLP와 global average pooling을 통해 결과를 얻을 수 있다.
4. Experiments
4.1. Semantic Segmentation
Data: S3DIS dataset – 271 rooms in 6 areas from 3 different buildings / 13 categories
Evaluation metric
Mean classwise intersection over union (mIoU)
Mean of classwise accuracy (mAcc)
Overall pointwise accuracy (OA)


Number of parameter
PointTransformer – 4.9M
KPConv - 14.9M
SparseConv – 30.1M
4.2. Shape Classification
Data: ModelNet40 – 12311 CAD models / 40 object categories
Evaluation metric
Mean accuracy within each category (mAcc)
Overall accuracy (OA)
4.3. Object Part Segmentation
Data: ShapeNetPart
16,880 models from 16 shape categories
number of part for each category: 2 ~ 6
Metric
category mIoU
instance mIoU
4.4. Ablation Study
Number of neighbors
Position encoding
Attention type
논문 리뷰 정리 PPT :
https://blog.naver.com/kgh9080/223439222284
[논문리뷰] Point Transformer
발표자료는 아래에 있습니다. https://drive.google.com/file/d/1MfyX6usYVe0k_AIwaejeaDu0PX3dP...
blog.naver.com