https://arxiv.org/pdf/1904.05068
https://arxiv.org/pdf/1804.03235
https://arxiv.org/pdf/1905.08094
안녕하세요, 이번 글에서는 Distillation의 변형된 기법들을 차례로 알아가보도록 하겠습니다. 핵심 아이디어 위주로 정리하였으므로 실험과 같은 자세한 내용은 논문을 참고해주시면 감사하겠습니다.
Knowledge 관점
< Relational Knowledge Distillation, 2019 >
1. Introduction
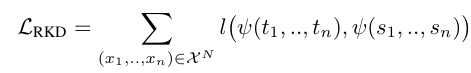
새로운 approach로 RKD(Relational Knowledge Distillation)과 loss 2가지 distance-wise & angle-wise distillation losses 를 제안. metric learning에서 student model이 outperform 할 수 있도록 함.
Conventional Knowledge Distillation은 KL divergence나 유클리디안을 loss function에 사용하며, teacher model의 output '각각'을 student model로 전달. 반면 RKD 는 relational potential function을 이용하여 나온 relational information을 전달. 자세한 설명은 아래에서 계속

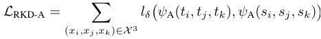
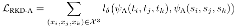
2. Relational Knowledge Distillation

- teacher model의 출력 표현에서 데이터들 간의 상호관계를 이용.
- n개의 튜플로부터 나온 relational potential Φ 을 계산하여 t model에서 s model로 전달.
- 장점: high-order 특성을 전이 가능, t와 s의 출력 차원이 다를 경우에도 지식 전이 가능
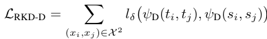
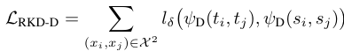
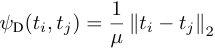
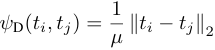
3. Distance-wise distillation loss

- t와 s 간의 distance-wise potential을 유클리디안으로 구함.

- 미니배치 normalization이 훈련 중 더 안정적이고 빠른 수렴을 가능하도록 함.
- 장점: 단순하지만 효과적, t와 s간 스케일 차이를 극복.
- 출력 표현 공간(output representation space)에서 데이터 예제들 간의 거리 차이를 penalize하여 관계를 전이.
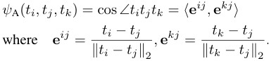
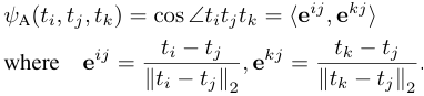
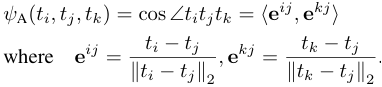
4. Angle-wise distillation loss

- 세개의 데이터 예제 간의 출력 표현 공간에서 형성된 각도를 cos으로 측정하여 관계를 정의

- t와 s model 간의 각도 차이를 penalize하여 관계를 전이
- 장점: 각도는 거리보다 고차원 정보를 담고 있어 더 효과적인 관계 전이 가능, 더 빠른 수렴과 높은 성능
Distillation 관점
< Large scale distributed neural network training through online distillation, 2018 >
1. Introduction
앙상블은 test time cost의 증가, 증류는 훈련 pipeline 복잡도의 증가로 산업 환경에서 쓰기 쉽지 않다.
이를 극복하기 위해 online distillation 기법을 제안.
2. Online Distillation

- 멀티 GPU를 통한 데이터 병렬처리, 복사된 네트워크끼리 서로 지식을 전달
- 각 모델이 나머지 모델의 예측값과 유사하도록 하는 distillation 방법론
- 병렬적으로 파라미터 값 업데이트되고 다른 모델들의 평균 예측값과 일치하도록 학습하여 정확도와 속도 향상
- 모델 자체가 작아지지 않았지만 예측 변동성 낮음

- for 문 : 모든 네트워크에 대해 실제 y값과의 오차를 계산하여 파라미터 업데이트 진행
- while 문 : 현재 네트워크(s model)가 아닌 나머지 네트워크들(t model)의 예측값의 평균을 내어 현재 네트워크의 소프트 타겟과의 오차를 계산하는 distillation term 추가. 수렴할 때 까지 파라미터 업데이트를 진행.
- 두 반복문은 병렬적으로 진행
참고: [DMQA Open Seminar] Introduction to Knowledge Distillation, https://www.youtube.com/watch?v=pgfsxe8sROQ
< Be Your Own Teacher: Improve the Performance of Convolutional Neural Networks via Self Distillation >
1. Introduction
Knowledge Distillation은 네트워크 경량화를 위한 하나의 모델 압축 기법. compact한 s model이 과적합 학습된 t model을 근사하도록 학습시켜 때로는 s가 t를 능가하기도 함.
traditional distillation의 setback:
- 낮은 효율성: t 모델의 모든 knowledge를 s 모델에게 주지 못하니까
- outperformed s 모델이 적음
- t 모델 설계와 훈련을 어떻게 적절하게 할건지
기존 Two-step의 KD가 아닌, One-step Self Distillation framework를 제안

2. Self Distillation
모델을 여러 shallow section(얕은 부분) 으로 나눈 뒤, 가장 깊은 부분(최종 레이어)을 teacher model로 간주하고, 나머지 shallow section을 student model로 훈련.
step>>
- 타겟 CNN을 shallow section으로 나눔.
- 각 shallow section 뒤에 bottleneck 레이어와 fully connected 레이어로 구성된 classifier 추가, 이는 훈련에만 쓰이고 추론 과정에서는 제거됨.
- cf) bottleneck 을 추가하는 이유는 shallow classifier 간의 영향을 최소화하기 위함, L2 loss를 추가해 hint를 전달
- s model 의 성능을 향상 시키기 위해 3가지 loss term을 훈련 과정에 도입
- Cross Entropy Loss :
- 모든 shallow classifier와 deepest classifier가 레이블 정보를 학습.
- 각 classifier의 softmax 출력과 데이터셋의 ground-truth 레이블 간 cross entropy 계산.
- 데이터셋 레이블에서 숨겨진 knowledge를 직접적으로 모든 classifier에 도입.
- KL Divergence Loss :
- deepest section(= t model)와 shallow section(= s model) 간 softmax 출력의 차이를 학습.
- 각 shallow classifier와 deepest classifier의 softmac 출력 간 KL Divergence를 계산.
- t model의 knowledge를 각 shallow classifier로 전달하여 s가 t의 출력 분포를 따라가도록 유도.
- L2 Loss :
- deepest classifier의 feature map을 shallow classifier의 bottleneck 레이어로 전달.
- 피쳐맵과 보틀넥 레이어 출력 간 L2 손실을 계산.
- 피쳐맵에 내재된 inexplicit knowledge를 shallow classifier에 도입하여 모든 s가 t의 피쳐맵에 맞도록 학습.
- Cross Entropy Loss :