Miscellaneous

[2025-2] 이루가 - A review of Q-learning methods for Markov decision processes

wnfladl 2025. 9. 13. 13:39

논문 링크: https://www.diva-portal.org/smash/record.jsf?pid=diva2%3A1877676&dswid=-1399

 

0. Abstract

연구 목적

상태-행동 문제(state-action problem)를 Markov Decision Process(MDP)로 모델링하고, Q-Learning과 Deep Q-Network(DQN)을 적용하여 최적 정책(optimal policy)을 찾는 방법을 탐구한다.

 

연구 방법

Q-Learning과 DQN 알고리즘을 각각 단순한 문제와 복잡한 문제에 적용하여 성능을 비교하고 각 알고리즘의 장점과 한계를 분석한다.

 

주요 결과

  • Q-Learning은 단순한 문제에서는 최적 정책을 성공적으로 찾았으나, 상태 공간이 사실상 무한한 복잡한 문제에서는 실패했다. 알고리즘이 단순하여 동작 원리를 이해하기 쉽다는 장점이 있다.
  • DQN은 단순 문제와 복잡한 문제 모두 해결 가능했으나, 내부 동작이 복잡하여 해석하기 어렵다는 단점이 있다.

1. Introduction

1.1. Background

 

Deep Q-Networks(DQN)에 대한 이해가 필요하다. Q-Learning과 DQN은 모두 마르코프 모델(Markov model)과 기대값 극대화(maximizing expected values)에 기반한 통계적 모델이다.

Q-Learning의 원리를 이해하는 것은 DQN을 배우는 데 기초가 된다. 단순한 상태-행동 문제를 Q-Learning으로 해결하는 과정을 통해 기본 지식을 쌓고, 이를 DQN으로 확장하여 동일 문제를 해결함으로써 두 방법 사이의 연결 고리를 제시한다. 이 과정은 DQN이 같은 문제에 어떻게 적용될 수 있는지를 보여주며, Q-Learning은 단순하지만 확장성이 떨어진다는 점을 대비시킨다.

 

1.2. Limitations

이 논문은 Q-Learning과 DQN만을 다루며, Double Q-Learning, Multi-agent Learning 등 관련 기법은 논의하지 않는다. 또한 두 가지 문제 상황에 대해서만 비교하는 한계를 갖는다. 두 문제는 이해하기 쉬운 수준이지만, 각 방법의 장단점을 보여주는 지표로는 충분하다.

 

1.3. Purpose

지난 10여 년간 기계학습(Machine Learning)은 크게 발전하여 사회 전반의 다양한 영역에서 활용되고 있다. 본 논문은 Q-Learning의 활용 방식과 그 한계를 보여줌으로써, 기계학습이 무엇이며 어디에 쓰일 수 있는지에 대한 이해를 제공하는 것을 목표로 한다.

 

2. Theory

2.1. Markov Decision Process

정의
MDP는 다음과 같은 4-튜플로 정의된다:

  • S+: 가능한 모든 상태(state)의 집합, 즉 상태 공간(state space).
  • A: 가능한 모든 행동(action)의 집합, 즉 행동 공간(action space). 상태에 따라 가능한 행동의 집합 As가 다를 수 있다.
  • Pa(s, s′): 상태 s에서 행동 a를 취했을 때, 다음 상태가 s′로 전이될 확률.
  • Ra(s, s′): 상태 s에서 행동 a를 통해 s′로 전이했을 때 얻는 즉각적인 보상.

정책 함수(policy function) π는 상태 공간 S에서 행동 공간 A로의 매핑으로, 각 상태에서 취할 행동을 결정한다.

 

예시

  • 체스판에서 특정 위치 (e,4)가 하나의 상태로 정의될 수 있다.
  • 날씨 문제에서는 (온도, 바람 세기, 맑음 여부)와 같은 변수를 묶어 하나의 상태로 표현할 수 있다.

특징

  • MDP는 단순한 마르코프 체인(Markov Chain)과 달리, 각 상태에서 다양한 행동을 선택할 수 있다.
  • 어떤 상태 s에서 가능한 행동의 개수는 |As|로 표현되며, 각 행동은 다른 상태로 전이될 확률 Pa(s, s′)을 가진다.
  • 또한, MDP에는 보상 함수 R(s,a,s′)가 포함되어 있어, 상태 전이에 따른 보상을 정의한다.
  • 이러한 구조 덕분에 에이전트는 단순히 상태에 의존하지 않고, 자신의 행동을 통해 미래 상태 전이에 영향을 줄 수 있다.

2.2. Q-learning


Q-Learning은 특정 상태(state)에서 특정 행동(action)을 선택했을 때 얻는 보상의 기대값을 학습하는 방법이다. 이를 Q-행렬(Q-matrix)로 표현할 수 있는데, 행은 상태를, 열은 행동을 나타내며, 각 원소는 상태-행동 쌍(state-action pair)의 가치를 의미한다.

훈련이 완료되면, 각 상태에서 가장 큰 기대 보상을 주는 행동을 선택하여 최적 정책(π*)을 얻는다. 이 정책은 각 단계에서 가장 높은 Q-value를 선택하는 탐욕적(greedy) 정책이다.

 

학적 기초

Q-Learning은 유한한 MDP의 경우, 무한 반복(iterations)과 적절한 무작위성(randomness)을 포함하면 최적 정책을 보장한다.

핵심은 벨만 방정식(Bellman Equation)이다:

이를 Q-Learning에 적용하면 Q값 업데이트 식은 다음과 같다:



학습률 α의 의미

  • α = 0 → 새로운 정보 반영 없음 (Q값 그대로 유지)
  • α = 1 → 새로운 정보만 반영 (기존 정보 무시)

탐험과 활용 (Exploration vs Exploitation)
Q-Learning은 최적 정책에 수렴하기 위해 무작위성을 필요로 한다. 이를 위해 ε-탐욕적 정책(Epsilon-greedy policy)을 사용한다.

  • 확률 ε → 무작위 행동 선택 (탐험, exploration)
  • 확률 1−ε → 가장 큰 Q값을 주는 행동 선택 (활용, exploitation)

즉, 새로운 상태를 탐색하며 장기적으로 더 나은 정책을 찾는 과정과, 이미 알려진 최적 행동을 선택해 보상을 극대화하는 과정의 균형을 맞춘다.

 

2.3. Deep Q-Networks

개념
Deep Q-Networks(DQN)은 2013년에 제안된 방법으로, 신경망(Neural Network)을 이용해 상태-행동 쌍의 Q값을 근사한다. 이 Q값은 특정 상태에서 행동을 취하고 이후 최적 정책(탐욕 정책, greedy policy)을 따른다고 가정했을 때의 누적 기대 보상(cumulative expected reward)을 의미한다.

신경망 구조는 입력층, 여러 개의 은닉층, 출력층으로 구성된다. 각 노드는 가중치(weight)로 연결되어 있으며, 이 가중치는 출력에 영향을 미친다.

경험 리플레이 (Replay Memory)

  • 훈련 전, 게임에서 얻은 관측값을 경험 et = (st, at, rt, st+1) 형태로 저장한다.
  • 훈련 시에는 이 경험에서 무작위 샘플을 뽑아 사용한다.
  • 무작위성은 데이터 간의 상관관계를 줄여 훈련의 안정성을 높인다.

Q값 추정

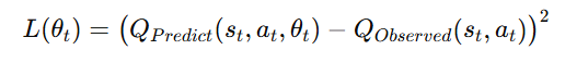
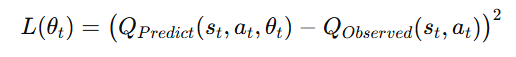
  • 예측값 QPredict(s,a,θt): 신경망이 현재 시점 t에서 특정 상태 s와 행동 a에 대해 산출한 기대 보상 추정치.
  • 관측값 QObserved(s,a): 실제 보상과 다음 상태의 최대 Q값을 기반으로 계산한 더 정확한 값.

관측값은 벨만 방정식으로 정의된다:

 

손실 함수와 최적화

  • 손실 함수(Loss)는 MSE (Mean Squared Error)로 정의된다:
  • 가중치 업데이트는 확률적 경사하강법(SGD)을 사용한다:

 

신경망 동작

    • 입력층: 상태(state) 표현을 입력으로 받는다.
    • 출력층: 각 가능한 행동(action)에 대한 Q값을 출력한다.
    • 각 노드는 바이어스(bias) 항을 가질 수 있으며, 비선형 활성화 함수(non-linear activation function)를 통해 상태와 행동 간의 복잡한 관계를 학습할 수 있다.

3. Methods

3.1. Lava game

환경 설정

  • 게임 보드는 4x4 격자(grid)로 이루어져 있다.
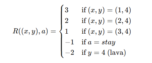
  • 각 상태(state)는 s=(x,y)s = (x,y)로 표시되며, 좌상단은 (1,1), 우하단은 (4,4)이다.
  • 오른쪽 끝선 x=4에 도달하면 보상을 얻고, 아래쪽 끝선 y=4에 도달하면 ‘용암(lava)’으로 간주되어 패널티를 받는다.

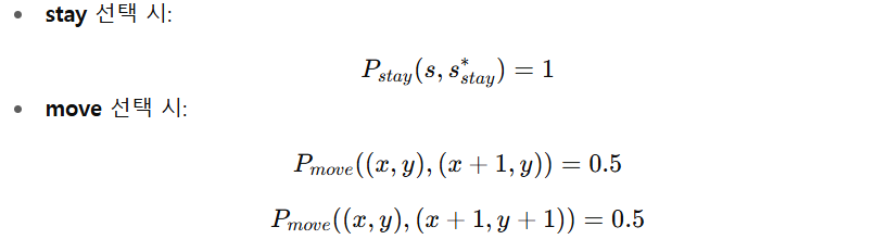
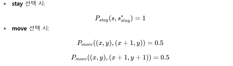
행동(Action) 정의

    • stay: 게임을 종료하고 보상 −1을 받음.
    • move: 상태 (x,y)에서 확률적으로 이동
      가능한 행동: As = {stay, move}
      • (x+1,y+1) → 확률 0.5
      • 즉, 오른쪽으로 이동하거나 대각선(오른쪽+아래)으로 이동

보상 함수 (Reward Function)

 

상태 공간 (State Space)

전이 확률 (Transition Probability)

의도
이 게임은 불확실성 속에서 최적의 의사결정을 학습하기 위한 단순하지만 직관적인 MDP 환경이다. Q-Learning 알고리즘을 실험하고, 탐험(exploration)과 활용(exploitation)의 균형을 통해 최적 정책을 학습하는 과정을 이해하는 데 유용하다.

 

3.1.1. Analytic solution of Lava game

분석적 해법의 필요성
Q-Learning의 결과를 평가하기 위해, 간단한 Lava 게임에 대한 분석적 최적 해(solution)를 도출한다.

  • stay를 선택하면 항상 보상은 −1이다. (게임이 종료되고 추가 보상이 없음)
  • move를 선택하면 벨만 방정식에 따라 계산된다. 이동 후 도달 가능한 상태들의 확률과 그 상태의 기대 보상을 합산하여 구한다.

해법 과정

  • 게임의 종결 상태(terminal states)로부터 역추적(backward induction)하여 각 상태에서의 최적 행동을 결정한다.
  • 각 상태에서 move를 선택하면:
    • 0.5 확률로 오른쪽으로 이동
    • 0.5 확률로 오른쪽+아래 대각선 이동
  • 따라서 기대 보상은
  • 만약 move의 기대 보상이 −1보다 작다면, stay를 선택하는 것이 최적이다.
  • 따라서 각 상태에서의 최적 행동은
    으로 결정

기대 보상 행렬 (Expected Rewards)

  • 위 행렬에서 값이 클수록 그 상태에서의 기대 보상이 크다는 의미다.
  • −1인 경우에는 stay가 최적 행동이 된다.

최적 정책 (Optimal Policy)

즉, 대부분의 상태에서는 move가 최적 행동이지만, 용암 지역으로 떨어질 위험이 큰 일부 상태에서는 stay가 더 나은 선택이 된다.

 

3.2. Cart pole game

환경 설명
Cart Pole 게임은 수레(cart) 위에 막대기(pole)를 세워 균형을 유지하는 고전적인 강화학습 환경이다.

  • 에이전트(agent)는 왼쪽(left) 또는 오른쪽(right)으로 일정한 힘을 가하는 두 가지 행동 중 하나를 선택할 수 있다.
  • 수레의 수평 움직임은 직접적으로, 막대기의 각도 변화는 간접적으로 영향을 받는다.
  • 막대기는 무작위 초기 각도에서 시작하며, 초기 속도는 없다.
  • 이 환경은 Barto, Sutton, Anderson의 고전 논문 “Neuronlike Adaptive Elements That Can Solve Difficult Learning Control Problem” [8]에 기반한다.
  • 구현은 Python의 Gymnasium 라이브러리 [9]를 통해 이루어진다.

시간 구조와 상태 정의

  • 시간은 이산적 간격(discrete time steps)으로 나뉜다.
  • 매 시점마다 시스템의 상태(state)가 평가되고, 에이전트는 그 상태를 바탕으로 행동(action)을 선택한다.
  • 게임의 상태는 네 가지 변수로 정의된다:
  1. 수레의 위치 (cart position)
  2. 수레의 속도 (cart velocity)
  3. 막대기의 각도 (pole angle)
  4. 막대기의 각속도 (pole angular velocity)
  • 이 네 가지 값이 결합되어 현재 시스템의 동적 상태를 설명한다.

에피소드 종료 조건 (Terminal States)
게임의 한 에피소드는 다음 두 조건 중 하나가 충족되면 종료된다.

  1. 막대기의 각도가 수직에서 크게 벗어날 경우 → 막대기가 쓰러짐을 의미
  2. 500 스텝(time steps) 제한에 도달할 경우

보상 구조 (Reward Structure)

  • 막대기가 쓰러지지 않고 유지되는 매 시점마다 보상 +1을 받는다.
  • 목표는 누적 보상(cumulative reward)을 최대화하는 것, 즉 막대기를 가능한 오래 세워두는 것이다.
  • 이 단순한 보상 체계는 에이전트가 균형을 오래 유지할수록 더 나은 정책을 학습하도록 유도한다.

3.3. Implementing Q-learning

구현 환경

  • Lava Game은 Python 3.9.7로 구현

Q-행렬 초기화

  • Q-행렬(Q-matrix)은 상태-행동 쌍에 대한 값을 [0,1] 사이의 임의의 값으로 초기화한다.
  • 종결 상태(terminal state)에서는 Q값을 항상 0으로 설정한다.

훈련 과정 (Training Process)

  • 학습은 Q-행렬을 반복적으로 갱신하여, 각 상태에서 행동을 선택했을 때의 기대 보상(expected reward)을 근사하는 과정이다.
  • 한 번의 학습 반복(iteration):
  1. 무작위 초기 상태에서 시작
  2. 행동을 선택하면서 진행
  3. 종결 상태에 도달하면 반복 종료
  • 초기 상태는 9개의 가능한 비종결 상태(non-terminal states) 중에서 무작위로 선택된다.
  • 이 방식은 모든 상태-행동 쌍이 유사한 빈도로 학습되도록 보장한다.
  • 학습은 정해진 횟수(iterations)만큼 반복된다.

종결 상태 정의

  • 게임에서 종결 상태는 다음 세 가지 상황이다:
  • 오른쪽 끝에 도달한 경우
  • 맨 아래(용암)에 도달한 경우
  • 행동 stay를 선택한 이후의 상태
  • 마지막 경우가 중요한데, 이 때문에 Q값 갱신 식(2.2)을 약간 수정해야 한다.

Q값 업데이트 식 (수정된 형태)

 

3.4. Implementing Deep Q-Networks

구현 환경

  • DQN은 Python 라이브러리 PyTorch를 사용하여 구현되었다.
  • PyTorch의 공식 문서와 튜토리얼을 참고해 DQN의 주요 구조를 작성하였다.

구현 구조

  • DQN의 기본 구조는 두 게임(Lava Game, Cart Pole Game)에서 동일하다.
  • 차이는 훈련 시 상호작용하는 환경(environment)에서 발생한다.
  • Lava Game: 단순한 격자 기반의 MDP 환경
  • Cart Pole: 연속적인 상태 변수를 가진 동적 환경

즉, DQN의 신경망 구조 자체는 그대로 유지되지만, 입력(state representation)과 보상 구조가 환경에 따라 달라진다.

 

3.4.1. Lava game

구현 방식

  • Lava Game을 위해 Python 클래스(class)가 작성되어, DQN 학습 코드가 해당 환경과 상호작용하도록 설계되었다.
  • PyTorch 튜토리얼의 기본 구조를 참고해 DQN 학습을 적용하였다.

튜토리얼 코드와의 주요 차이점

  1. 최적화 함수 변경
    • 원래 PyTorch 튜토리얼은 AdamW Optimizer를 사용.
    • 본 구현에서는 Stochastic Gradient Descent (SGD)를 사용.
    • 논문에서는 이 변경에 대한 자세한 논의는 다루지 않았다.
  2. 손실 함수 변경
    • 원래 튜토리얼: torch.nn.SmoothL1Loss()
    • 본 구현: 평균제곱오차(MSE, Mean Squared Error) - torch.nn.MSELoss() 

즉, Lava Game에 맞게 PyTorch 튜토리얼의 구조를 유지하되, 최적화 함수와 손실 함수만 변경하여 실험을 진행한 것이다.

 

3.4.2. Cart Pole

구현 방식

  • Cart Pole 게임은 PyTorch 튜토리얼 [10]에서 사용된 동일한 예제 환경이다.
  • 따라서 구현 방식은 튜토리얼 코드와 거의 동일하다.
  • 차이점은 앞서 3.4에서 언급된 변경 사항과 동일하다:
  • 최적화 함수: AdamW → SGD
  • 손실 함수: SmoothL1Loss → MSELoss

즉, Cart Pole 구현은 PyTorch 예제를 거의 그대로 따르되, Lava Game과 동일하게 SGD + MSELoss 조합을 적용했다.

4. Results and Analysis

4.1. Results

4.1.1. Q-learning: Lava game

Q-Learning 행렬

  • 상태-행동 집합 A\mathcal{A}: 각 상태에서 가능한 행동은 (stay,move)
  • 학습된 Q-값 행렬 Q:

각 항목은 (Q(stay),Q(move))를 의미한다.

 

도출된 최적 정책 π*

  • 최적 행동(가장 큰 Q값을 선택한 결과):
  • 대부분의 상태에서 move가 최적 행동으로 선택되었다.
  • 용암 지역(하단)에 가까운 일부 상태에서는 기대 보상이 낮아 stay가 더 안전한 선택으로 나타났다.
  • 이는 분석적 해법(3.1.1)과도 유사한 경향을 보여준다.

4.1.2. DQN: Lava game

DQN 학습 결과

  • DQN은 각 상태를 입력받아, 가능한 행동의 기대 보상 값을 출력한다.
  • 학습 후 각 상태-행동 쌍의 기대 보상(Q값)이 테이블에 저장된다.
  • 아래 그래프는 최근 100게임의 평균 보상 변화를 보여주며, 학습이 진행됨에 따라 점차 안정화되는 모습을 확인할 수 있다.

상태-행동 집합

Q값 (학습률 α=10^(-3))

각 항목은 (Q(stay),Q(move))를 의미한다.

 

도출된 최적 정책 π*

 

  • Q-Learning과 마찬가지로 대부분의 상태에서 move가 최적 행동으로 선택되었다.
  • 하단부 일부 상태에서는 보상이 낮아 stay가 더 안전한 행동으로 학습되었다.
  • 학습 그래프는 시간이 지남에 따라 성능이 수렴하는 패턴을 보여주며, DQN이 단순 환경에서도 안정적으로 최적 정책을 학습할 수 있음을 입증한다.
  • 학습률이 달라져도 최적 정책 π*는 크게 변하지 않았다.
  • 모든 경우에서 대부분의 상태에서는 move가 최적 행동으로, 하단부 일부 상태에서는 stay가 선택되었다.
  • 그러나 Q값의 크기와 안정성은 학습률에 따라 달라졌으며, 학습률이 너무 작을 경우) 보상의 차이가 줄어들어 학습이 더 느리고 불안정할 수 있음을 시사한다.

4.1.3. DQN: Cart pole game

실험 설정

  • Cart Pole 게임을 1000 에피소드 동안 학습시킨 결과가 Figure 4.2에 제시됨.
  • x축: 에피소드 수
  • y축: 수레와 막대기의 균형을 유지한 지속 시간 (time steps)
  • 한 에피소드의 최대 지속 시간은 500 time steps이며, 이 한계에 도달하면 새로운 에피소드가 시작된다.
  • 학습이 진행될수록 에이전트는 점차 더 오랜 시간 동안 막대기를 세워두는 정책을 학습했다.
  • 일정 학습 이후에는 많은 에피소드가 최대치(500 steps)에 도달했음을 통해, DQN이 Cart Pole 환경에서 성공적으로 안정적 정책을 학습했음을 알 수 있다.

4.2. Analysis

  • Lava Game
    • Q-Learning과 DQN 모두 동일한 최적 정책(3.1.1에서 제시된 정책)에 수렴하였다.
    • 즉, 두 방법 모두 단순 환경에서는 성공적으로 최적 행동을 학습할 수 있음을 보여준다.

 

  • Cart Pole Game
    • Q-Learning은 이 문제를 해결하지 못했다.
    • 이유: Cart Pole은 사실상 무한 상태 공간(infinite state space)을 가지므로, Q-Learning의 설계 자체가 적용되기 어렵다.
    • 반면, DQN은 학습을 통해 막대를 최대 시간(500 steps) 동안 안정적으로 세워둘 수 있는 정책을 획득하였다.
    • 마지막 200 에피소드에서 모든 시도에서 500 steps 목표를 달성한 점은, 초기 조건과 관계없이 DQN이 안정적 정책을 확립했음을 의미한다.

5. Discussion

DQN의 장점

  • DQN은 무한 상태 공간(infinite state space) 또는 연속적 상태 변수(continuous variables)가 존재하는 문제에 적합하다.
  • Cart Pole 게임과 같은 복잡한 환경에서 DQN은 신경망을 통해 Q값을 근사함으로써 효과적으로 문제를 해결할 수 있었다.
  • 실험 결과, DQN은 Cart Pole 문제에서 막대를 최대 시간 동안 안정적으로 유지하는 정책을 학습하며 복잡한 의사결정 환경에 적응할 수 있는 능력을 보여주었다.

Q-Learning의 장점

  • 수렴 보장: 특정 조건이 충족된다면 Q-Learning은 반드시 수렴한다.
  • 단순성: 알고리즘이 단순하여 구현, 이해, 분석이 쉽다.
  • 적용 범위: 유한하고 이산적인 상태 공간을 가진 단순 환경에서는 여전히 유효하고 실용적이다.

비교와 한계

  • Q-Learning은 단순성과 안정성을 제공하지만, 상태 공간이 무한하거나 연속적일 경우 적용 불가하다.
  • DQN은 확장성(scalability)이 뛰어나지만, 다음과 같은 문제를 수반한다:복잡성 증가: 신경망 기반이므로 구현 및 해석이 어렵다.
    • 복잡성 증가: 신경망 기반이므로 구현 및 해석이 어렵다.
    • 불안정성: 학습 과정에서 수렴이 보장되지 않는다.
    • 하이퍼파라미터 튜닝 필요: 학습률(learning rate) 등 설정이 적절하지 않으면 발산 가능성이 있다.

종합 결론

  • DQN은 Q-Learning을 확장해 더 복잡하고 대규모 상태 공간 문제를 해결할 수 있지만, 그 대가로 복잡성과 불안정성을 감수해야 한다.
  • Q-Learning은 제한적이지만, 단순성과 신뢰성이 요구되는 환경에서는 여전히 적합하다.
  • 따라서 두 방법 중 어느 것을 선택할지는 문제의 성격(상태 공간의 크기, 연속성 등)과 사용자가 감당할 수 있는 복잡성에 따라 달라진다.

6. Conclusions and Future work

  • Q-Learning
    • 실험에서 안정적으로 수렴(convergence)에 성공했다.
    • 이는 Lava Game과 같이 유한하고 작은 상태 공간(3x3 격자)에서는 당연한 결과였다.
    • 하지만 상태 공간이 더 큰 환경(예: 10x10 격자)으로 확장될 경우, Q값을 저장·계산해야 하는 부담 때문에 계산 복잡도가 급격히 증가할 수 있다.
    • 따라서 Q-Learning은 작고 단순한 환경에서는 효율적이고 신뢰할 수 있는 방법이지만, 대규모/복잡 환경에서는 확장성의 한계를 가진다.
  • Deep Q-Networks (DQN)
    • Lava Game에서는 항상 최적 정책을 찾지는 못했지만, Cart Pole 문제에서는 효과적으로 작동했다.
    • 이는 DQN이 Q값을 직접 저장하는 대신 사(approximation)하기 때문에 불안정성이 존재함을 보여준다.
    • 이러한 불안정성은 복잡한 환경에서 근사 기반 기법이 가지는 일반적인 특징이기도 하다.
    • 그럼에도 불구하고, DQN은 연속적이고 복잡한 상태 공간을 다루는 데 필요한 확장성(scalability)을 제공한다