[2025-1] 임재열 - Self-guided Knowledge-injected Graph NeuralNetwork for Alzheimer’s Diseases
Self-guided Knowledge-injected Graph Neural Network for Alzheimer’s Diseases은 2024년 MICCAI에서 발표된,
1. 알츠하이머 진단을 위해 뇌 영역 간 그래프에 의료 지식을 주입하고,
2. 개인별 연결 특성을 반영하는 self-guided attention GNN을 제안한 논문입니다.
[SGK-GNN]
https://papers.miccai.org/miccai-2024/678-Paper0869.html
Self-guided Knowledge-injected Graph Neural Network for Alzheimer’s Diseases
Abstract Graph neural networks (GNNs) are proficient machine learning models in handling irregularly structured data. Nevertheless, their generic formulation falls short when applied to the analysis of brain connectomes in Alzheimer’s Disease (AD), neces
papers.miccai.org
<GNN>
* Euclidean Data
- 우리가 익숙한 이미지, 텍스트, 음성은 모두 유클리드 공간 위의 데이터
- 픽셀은 격자(grid), 문장은 순서(sequence) 등
* Graph
- But, 세상은 더 복잡한 구조로 이루어짐
- 소셜 네트워크, 교통망, 화학 분자, 추천 시스템은 모두 그래프 구조
- Graph: 여러 개의 노드(node)와 이를 연결하는 엣지(edge)로 이루어진 자료구조
- G = (V, E)

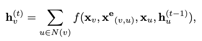
* GNN
- GNN(Graph Neural Network): 노드(개체)와 엣지(관계)로 표현되는 그래프 데이터를 신경망으로 처리
- 핵심 철학: “나 자신은 내 이웃들에 의해 정의된다”
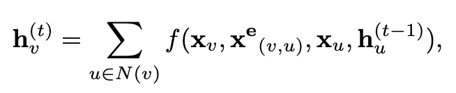
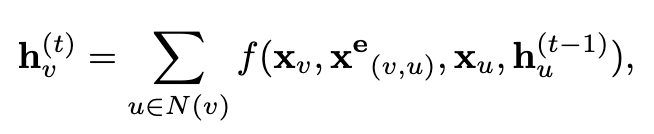
- 연산 구조


: 노드 v의 k번째 layer에서의 표현
- N(v): 노드 v의 이웃
- AGGREGATE: 이웃 노드 표현 집계 함수 (예: mean, sum, max)
- COMBINE (혹은 UPDATE): 자기 자신과 집계값을 합치는 함수 (예: MLP)
<GNN 대표 아키텍처>
* RecGNN
- 이웃 노드 정보 반복적으로 수렴할 때까지 전달 → 고정점 도달

- 장점
- 이웃 정보를 반복적으로 전달하여 풍부한 문맥 표현 가능
- 단점
- f가 contractive mapping 이어야 수렴 보장
- 병렬 연산 불가능
- full-batch 강제
* ConvGNN

1. Spectral
- Graph Laplacian의 Eigenvector를 이용한 스펙트럼 기반 필터링

2. Spatial
- 직접 이웃 노드들로부터 정보를 수집하고 합산/평균
- NN4G (Neural Network for Graphs)

- GAT (Graph Attention Network)


- 장점
- 병렬화 가능
- minibatch: 고정된 k-hop 정보 사용
- 단점
- Oversmoothing: 레이어가 깊어질수록 모든 노드 표현 유사 → 해결방안: Skip Connection, DropEdge
- Oversquashing: 긴 거리 정보가 좁은 채널에 눌려 표현적 손실 → 해결방안: Embedding 차원 향상, Positional Encoding
- Noise Propagation: 노드 오염 → 해결방안: attention, adaptive aggregation
* GAE

- Encoder + Decoder 구조


- 적용 task
- 링크 예측
- 노드 clustering
- 그래프 생성
- anomaly detection
* STGNN

- 시간에 따라 변화하는 그래프 데이터 처리
- 시계열 그래프: [X^1, X^2, ..., X^T]
- 처리 방식
1. Temporal 처리: RNN/CNN/Attention
2. Spatial 처리: GCN/GAT/Diffusion
- RNN-based STGNN: 현재 시점의 X^t에 GCN + 과거 시점의 H^t-1에 GCN

<SGK-GNN>
* Abstact
- 기존 GNN은 알츠하이머병 분석에서 도메인 지식 부재로 성능이 제한됨
- 자연어 형태의 AD 관련 지식을 활용해 GNN 학습을 유도하는 self-guided 멀티모달 프레임워크를 제안
- 수집한 논문 기반 지식을 실제 AD 데이터에 통합하여 예측 성능과 해석 가능성을 향상시킴
* Introduction - Contribution
- 외부의 비정제된 도메인 지식을 활용하여 GNN에 자동으로 통합하는 방식을 제안하며, 관련 주제에 대해 적절한 지식을 선택적으로 통합하는 새로운 soft retrieval-augmented generation 방식을 도입
- 제안한 방법은 GNN의 성능과 해석 가능성을 동시에 향상시키는 것을 목표로 하며, 예측에 기여한 그래프와 지식 단위의 설명 요소를 식별해 해당 데이터셋과 GNN에 맞게 조정된 그래프 보강을 가능하게 함
- AD 대표 데이터셋에 대한 실험 결과, 제안한 방법은 GNN에 도메인 지식을 효과적으로 주입할 수 있고, 모델 성능을 향상시키는 동시에 맞춤형 설명을 생성할 수 있음을 입증
* Methods

* Multimodal GNN equipped with external knowledge
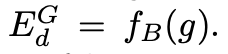
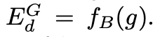
- 뇌 연결망 그래프
노드: 뇌 영역 (예: 해마, 전두엽 등), 엣지: 이들 간의 연결 강도
- backbone GNN f_B를 통해 Embedding 생성

- 외부 지식 K
- 알츠하이머 관련 논문의 제목 +초록 -> PLM으로 임베딩

- 전체 지식 임베딩 집합

- 융합 그래프 g_f
- cross-modal edge
- 일종의 retrieval-style edge: "이 노드와 가장 관련 있는 지식 문장은 뭐지?"
- 최종 예측값

* Graph-wise and knowledge-wise importance retrieval using masks
- Mask 학습을 통해 중요도 점수를 각각의 그래프 요소에 실수값(0~1)으로 부여
- 이를 기반으로 Sampling하여 실제 연결 골라냄
- 그래프 마스크 (M_d): 그래프 g에 대한 node의 중요도
- 지식 마스크 (M_k): 융합 그래프 g_f에 대한 node의 중요도
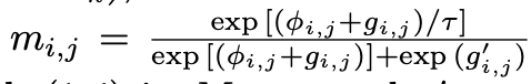
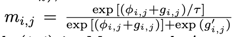
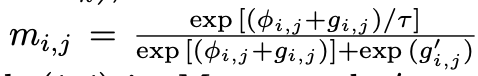
- Gumbel Softmax → M'_d, M'_k

- ϕ_ij: 마스크 의 (i,j) 위치의 값 (행렬 요소)
- g_i,j, g_i,j′: Gumbel(0,1) 분포에서 샘플링한 독립적인 랜덤 노이즈
- τ: temperature 하이퍼파라미터
- 최종 예측 구조
1. 입력 그래프 g = (V_g, W_g)
2. edge sampling: W'_g

3. 새로운 그래프 g' = (V_g, W'_g) → 새로운 노드 임베딩 계산

4. 지식 임베딩과 함께 융합 그래프 g_f = (V_f, A_f) 구성
5. 지식 마스크 M'_k 적용

6. 최종 융합그래프 g'_f = (V_f, A'_f) 생성 후 예측

- Loss

- L_mask: 원래 입력에서 얻은 예측 y^와, 샘플링된 입력에서 얻은 예측 y^′ 간의 차이
- L_clf: 샘플링된 입력의 예측 y^′와 실제 라벨 간의 일치 유도
- L_spas: 두 마스크의 sparsity (희소성) 조절
- L_disc: 마스크 값이 0 또는 1에 가까워지도록 binary entropy 사용
* Graph augmentation enhanced by retrieved importance
- 예측에서 중요한 역할을 한 마스크를 기반으로 그래프 증강(graph augmentation) 수행
- 사전 학습된 멀티모달 GNN f를 fine-tuning
- 시그모이드 값을 기준으로 임계값 T을 설정하여 엣지를 sampling
- m_i ≥ T: 해당 엣지를 유지
- m_i < T: 50% 확률로 유지하거나 제거 (랜덤 샘플링)