[2023-2] 주서영 - EEG2IMAGE: Image Reconstruction from EEG Brain Signals
EEG2IMAGE: Image Reconstruction from EEG Brain Signals
Reconstructing images using brain signals of imagined visuals may provide an augmented vision to the disabled, leading to the advancement of Brain-Computer Interface (BCI) technology. The recent progress in deep learning has boosted the study area of synth
arxiv.org
GitHub - prajwalsingh/EEG2Image: EEG2IMAGE: Image Reconstruction from EEG Brain Signals. [ICASSP 2023]
EEG2IMAGE: Image Reconstruction from EEG Brain Signals. [ICASSP 2023] - GitHub - prajwalsingh/EEG2Image: EEG2IMAGE: Image Reconstruction from EEG Brain Signals. [ICASSP 2023]
github.com
Abstract
- 뇌의 전기적 활동을 기록한 EEG(Electroencephalogram)를 활용하여 이미지를 재구성함으로써 장애인에게 보조적 시각을 제공하여 BCI(Brain-Computer Interface) 기술을 발전시키고자 하였다.
- 이 논문에선 작은 규모의 EEG 데이터 세트를 훈련시킨 이미지 합성 프레임워크를 제안하였다.
- 특정 object나 영문자를 상상하도록 할 때의 EEG 신호의 feature를 추출하여 conditional GAN(Generative Adversarial Networks)을 활용하여 128x128 사이즈인 이미지를 합성하는 실험을 수행하였다.
1. Introduction
- EEG는 뇌 영상 기술 중 비교적 저렴한 비용이고 휴대성을 갖추고 있으며 시간 정밀도가 높다.

- 시각적 자극에 대한 뇌의 반응을 해독하는 것은 장애를 가진 환자들과 더 나은 의사소통을 할 수 있도록 도울 수 있을 것이다.
- 이 논문에서 기여한 내용
- 작은 EEG 데이터 세트를 사용하여 이미지를 합성할 수 있는 프레임워크
- Fig 2,3과 같이 softmax보다 더 나은 k-means 정확도를 보여주는 EEG 신호의 특징을 학습하기 위해 semi-hard triplet loss를 사용
- Fig 4(b)와 같이 품질이 높은 이미지 합성을 위해 cGAN (conditional GAN)에 정규화와 데이터 증강을 추구하는 mode를 적용 하였다.
2. Related works


- Fig.2 Object test 데이터 세트의 t-SNE 시각화 결과
- label supervision을 통해 EEG feature space 학습
- test 분류 정확도 0.75
- k-means 정확도 0.18
3. Proposed method
- Fig 1에서 제안한 프레임워크는 contrastive learning을 통하여 EEG에서 좋은 feature를 추출하였다.
- (좋은 feature = GAN이 이미지를 재구성하는 데 도움이 될 수 있는 이미지에 대한 유용한 정보 )
- 추출된 EEG feature를 이미지로 변환하기 위해 cGAN을 수정해서 활용하였다.
Feature Extraction

- Fig.3 Object test 데이터 세트의 t-SNE 시각화 결과
- triplet loss를 통해 EEG feature space 학습
- k-means 정확도 0.53
- EEG로부터 생성된 이미지도 plot에 나와있음
- EEG feature learning을 위해 triplet loss에 기반한 contrastive learning을 하였다.

- 같은 label을 가진 두 데이터 간의 거리를 최소화하고 다른 label을 가진 두 데이터 간의 거리를 최대화하도록 한다.
- $f$는 EEG 신호를 feature space에 mapping한다. ($f_\theta:R^{C\times{}T} \rightarrow R^{128}$)
- 같은 클래스 anchor($a$)의 EEG 신호와 positive($p$) EEG 신호 사이의 거리를 최소화하도록 한다.
- 다른 클래스 anchor($a$)와 negative의 사이의 거리는 최대화한다.
- contrasitve learing을 통해 유사한 이미지에 대해 생성된 EEG 신호가 학습된 feature space에 서로 가까워지도록 한다.
- [참고논문] : https://arxiv.org/abs/1503.03832
FaceNet: A Unified Embedding for Face Recognition and Clustering
Despite significant recent advances in the field of face recognition, implementing face verification and recognition efficiently at scale presents serious challenges to current approaches. In this paper we present a system, called FaceNet, that directly le
arxiv.org
Image Generation
- 추출된 EEG feature로부터 이미지를 합성하기 위해 GAN을 사용하였다.

- Fig.4 ThoughtViz와 EEG2Image의 Qualitative comparison
- 10개의 class를 나타내었으며 경계 상자의 이미지는 train-test 분할을 통한 Object 테스트 데이터이다.
- EEG에서 ThoughtViz를 통해 생성된 이미지는 왼쪽이고 논문의 프레임워크를 사용한 것은 오른쪽이다.
| Method | Inception Score |
|---|---|
| AC-GAN | 4.93 |
| ThoughtViz | 5.43 |
| EEG2Image (Ours) | 6.78 |
- Table.1 모든 Object 데이터 세트에 대한 Inception Score 비교
- AC-GAN과 ThoughtViz에 비해 EEG2Image의 IC가 제일 높은 것을 알 수 있다.
GAN optimization process

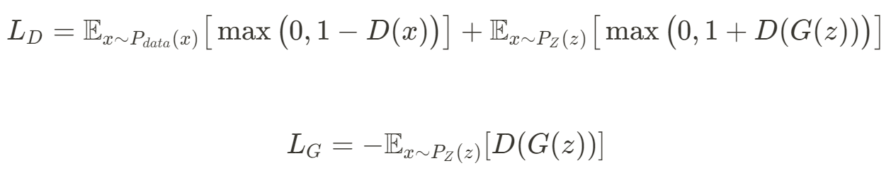
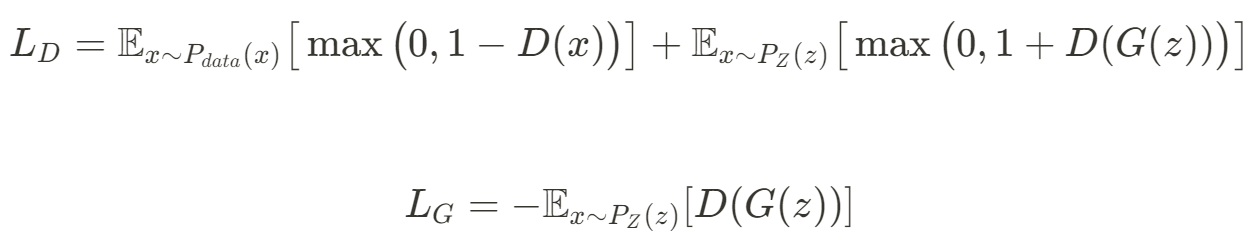
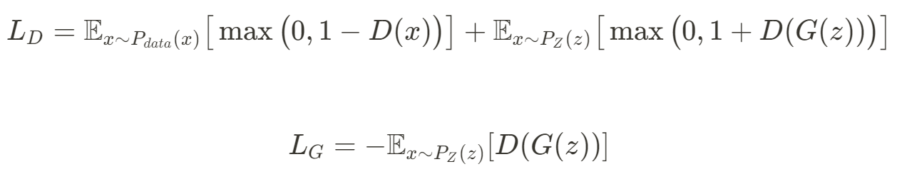
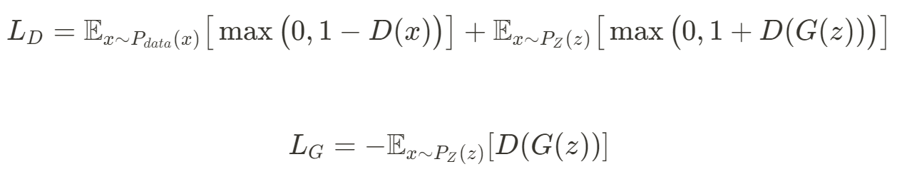
- 두 개의 sub-network인 Generator(G)와 Discriminoar(D)의 목적함수를 나타낸 것이다.
- Generator의 목적은 latent distribution($p_{\mathbb{z}}$)와 현실 데이터 distribution($p_{data}$) 사이의 변환을 학습하는 것이다.
- latent distribution는 $N(0,1)$ (평균=0, 분산=1)로 가정하고 noise vector $z\in\mathbb{R^{128}}$ 를 샘플링한다.
- Discriminoar는 실제 이미지와 합성 이미지를 구별하도록 학습한다.
- Discriminoar는 실제 이미지 $D(x)$에 대한 를 최대화하고 생성된 이미지 $D(G(z))$에 대한 점수를 최소화하도록 목표하여 $V(D,G)$를 최대화한다.
- Generator는 $D(G(z)$가 0에 가까워지도록 최소화한다.
GAN Hinge Loss

- Vanilla GAN에서는 mode collapse와 불안정한 training 문제가 있기 때문에 conditional DCGAN에 SVM hypaer plane을 결정 짓는 hinge loss를 사용하여 안정적으로 training 하도록 하였다.
- Hinge loss
- $
loss = max\big(0,1 - (y^{\prime}\times{}y)\big)
$

- SVM의 margin의 분류가 잘되는 바깥 부분의 관측값이라면 loss를 무시하고(loss=0), 분류가 잘 되지 않는 margin 내의 관측값이라면 손실이 크도록 유도하는 것이 목적
- $
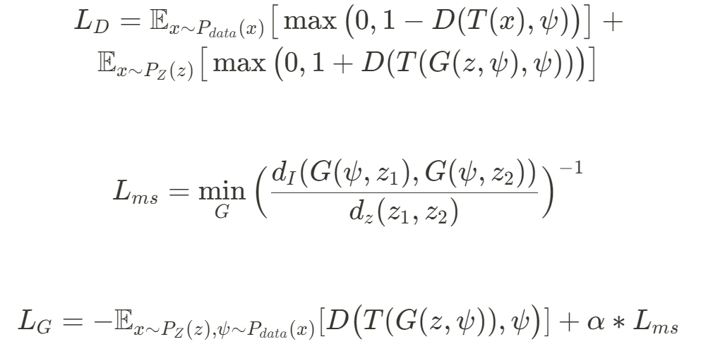
Final loss term

- GAN training에서의 희소 데이터의 문제는 discriminator가 데이터를 쉽게 기억할 수 있는 것을 야기할 수 있다.
- 이를 해결하기 위해 Differntiable(미분 가능한) data augmentation(DiffAug) 블록을 추가하였다.
- $L_D$는 discriminator loss, $L_G$는 generator loss, $L_{ms}$는 mode-seeking regularizer term(정규화 항)
- $T$는 DiffAugment function
- $\psi$는 EEG feature vector
- $\alpha$는 모든 실험에서 1.0으로 유지된 regularizer weight term(정규화 가중치 항)
4. Experiments and Results
Datasets

- 알파벳의 10가지 클래스가 있는 Chars74K의 subset인 Charater 세트와 ImageNet의 subset인 Object 데이터 세트를 사용하였다.
- EEG 데이터는 23명의 참가자에게 Charater와 Object의 10가지 클래스를 한번에 하나씩 시각화하도록 요청하였다.
- 데이터 세트 당 230개의 EEG sample에 train-test 분할을 사용하였다.
EEG2Feature

- EEG에서 좋은 feature를 추출하는 LSTM 네트워크를 구성하였다.
- 첫 번째에선 softmax cross-entropy loss를 사용하여 128개의 hidden unit을 갖는 LSTM이고 학습된 EEG에 대한 metric으로는 k-means를 사용하였다.
- Object와 Character 테스트 데이터 세트에 대한 classification 정확도는 74.3%, 75.4%이고 k-means 정확도는 17.8%, 16.3%이다.
- 두 번째에선 constrastive learning으로 학습하였고 semi-hard triplet loss를 통해 feature space를 구조화하였다.
- Object와 Character 테스트 데이터 세트에 대한 k-means 정확도는 53%, 49%이다. k-means 정확도가 높으면 더 나은 학습된 표현을 의미 함
Feature2Image

- 이미지 합성에 Conditional DCGAN을 사용하였으며 metric으로 IS(Inception Score)를 사용하였다.
- GAN 네트워크를 training하는 데 각 loss의 중요성을 확인하기 위해 Object 데이터 세트에서는 세 가지 실험을 했다.
- Fig. 6(a)에서는 mode-seeking regularization과 DiffAugment 없이 cGAN을 훈련시켰고 Inception Score는 3.61이다.
- Fig. 6(b)에서는 mode-seeking regularization만 하였고 IS는 4.27로 향상되었다.
- Fig. 6(c)에서는 DiffAugment 사용하였고 Inception Score는 6.5로 크게 향상되어 논문에서 제안된 프레임워크에서는 mode-seeking regularization 항과 DiffAugment 블록을 모두 사용하기로 하였다.
- mode-seeking regularization이란?
- [참고논문] : https://arxiv.org/abs/1903.05628
Mode Seeking Generative Adversarial Networks for Diverse Image Synthesis
Most conditional generation tasks expect diverse outputs given a single conditional context. However, conditional generative adversarial networks (cGANs) often focus on the prior conditional information and ignore the input noise vectors, which contribute
arxiv.org
5. Conclusion
- 작은 규모의 EEG 데이터 세트를 활용하여 EEG 신호에서 128×128 크기의 이미지를 생성하였고, 이전 방법보다 더 높은 Inception Score를 보여주었다.
- EEG 데이터에서 feature를 추출하기 위해 contrastive learning을 통해 학습하였고 GAN loss function을 수정하여 실험에서 이미지 생성의 효과적인 성능을 입증하였다.
- 향후 작업으로 self/un-supervised learning 방식으로 특징을 추출하고 대규모 EEG 데이터 세트에 대해 다룰 예정이다.